Main ArticleExamples TOC

Takmela: Left recursion due to nullable nonterminals example

This is an example of 'invisible' left-recursion; the left recursion here isn't syntactic but can appear at runtime due to b being nullable, and thus a can call itself without consuming any input. I'm not sure this example follows the formal definition of left recursion, so let's call it "left-recursion-like behavior due to nullable nonterminals"

Again, Takmela's algorithm doesn't know or care about all this, it just dutifully parses the input

Grammar
a:  b a c
  | 'a'
;

b:   'b'
   | ;
   
c : 'c';
    
NUM: [0-9]+;

PLUS: '+';
WS skip: ' '*;
Input
bacc

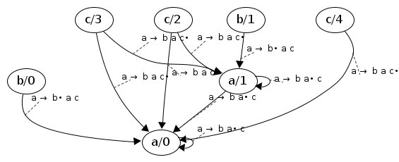
Trace appears confusing? This might help

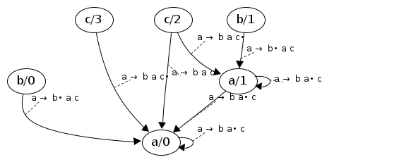
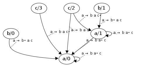
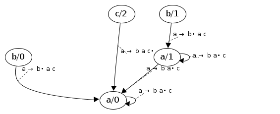
Call start nonterminal
#0: Called a/0 at the top level (will process)
Processing a/0 codePos a → • b a c inputPos 0
Calling: b/0 with Cont a/0 ; a → b• a c ; a [will process]
Processing b/0 codePos b → • `b` inputPos 0
Match b to b, matched; inputPos now 1
Reached end of rule, success! b/0 → 1
Processing b/0 codePos b → • inputPos 0
Reached end of rule, success! b/0 → 0
Processing a/0 codePos a → • `a` inputPos 0
Match `a` to b, fail
New continuations:
b/0a/0 ; a → b• a c ; a
b/0 → 1, b('b') b/0 → 0, b
Iteration 0
Worklist - successes
jS b/0 → 0 b
jS b/0 → 1 b('b')
Worklist - continuations
S⤚ b/0a/0 ; a → b• a c
#1: JoinS: b/0 → 0 b will resume cont: a/0 ; a → b• a c
Processing a/0 codePos a → b• a c inputPos 0
Calling: a/0 with Cont a/0 ; a → b a• c ; a(b) [already processed]
New continuations:
a/0a/0 ; a → b a• c ; a(b)
b/0 → 1, b('b') b/0 → 0, b
#2: JoinS: b/0 → 1 b('b') will resume cont: a/0 ; a → b• a c
Processing a/0 codePos a → b• a c inputPos 1
Calling: a/1 with Cont a/0 ; a → b a• c ; a(b('b')) [will process]
Processing a/1 codePos a → • b a c inputPos 1
Calling: b/1 with Cont a/1 ; a → b• a c ; a [will process]
Processing b/1 codePos b → • `b` inputPos 1
Match `b` to a, fail
Processing b/1 codePos b → • inputPos 1
Reached end of rule, success! b/1 → 1
Processing a/1 codePos a → • `a` inputPos 1
Match a to a, matched; inputPos now 2
Reached end of rule, success! a/1 → 2
New continuations:
b/1a/1 ; a → b• a c ; a
a/1a/0 ; a → b a• c ; a(b('b'))
b/0 → 1, b('b') b/0 → 0, b b/1 → 1, b a/1 → 2, a('a')
Iteration 1
Worklist - successes
jS b/1 → 1 b
jS a/1 → 2 a('a')
Worklist - continuations
nJ a/0a/0 ; a → b a• c
S⤚ b/1a/1 ; a → b• a c
S⤚ a/1a/0 ; a → b a• c
#3: JoinS: b/1 → 1 b will resume cont: a/1 ; a → b• a c
Processing a/1 codePos a → b• a c inputPos 1
Calling: a/1 with Cont a/1 ; a → b a• c ; a(b) [already processed]
New continuations:
a/1a/1 ; a → b a• c ; a(b)
b/0 → 1, b('b') b/0 → 0, b b/1 → 1, b a/1 → 2, a('a')
#4: JoinS: a/1 → 2 a('a') will resume cont: a/0 ; a → b a• c
Processing a/0 codePos a → b a• c inputPos 2
Calling: c/2 with Cont a/0 ; a → b a c• ; a(b('b'), a('a')) [will process]
Processing c/2 codePos c → • `c` inputPos 2
Match c to c, matched; inputPos now 3
Reached end of rule, success! c/2 → 3
New continuations:
c/2a/0 ; a → b a c• ; a(b('b'), a('a'))
b/0 → 1, b('b') b/0 → 0, b b/1 → 1, b a/1 → 2, a('a') c/2 → 3, c('c')
Iteration 2
Worklist - successes
jS c/2 → 3 c('c')
Worklist - continuations
S⤚ c/2a/0 ; a → b a c•
jK a/1a/1 ; a → b a• c
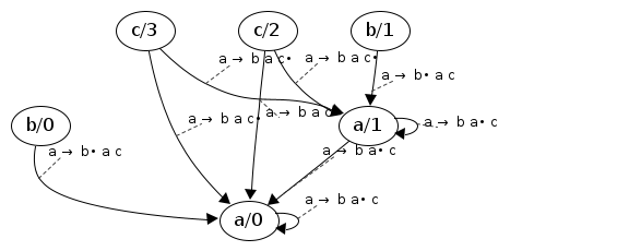
#5: JoinS: c/2 → 3 c('c') will resume cont: a/0 ; a → b a c•
Processing a/0 codePos a → b a c• inputPos 3
Reached end of rule, success! a/0 → 3
b/0 → 1, b('b') b/0 → 0, b b/1 → 1, b a/1 → 2, a('a') c/2 → 3, c('c') a/0 → 3, a(b('b'),a('a'),c('c'))
#6: JoinK: a/1 will use a/1 → 2 a('a') to resume a/1 ; a → b a• c
Processing a/1 codePos a → b a• c inputPos 2
Calling: c/2 with Cont a/1 ; a → b a c• ; a(b, a('a')) [already processed]
New continuations:
c/2a/1 ; a → b a c• ; a(b, a('a'))
b/0 → 1, b('b') b/0 → 0, b b/1 → 1, b a/1 → 2, a('a') c/2 → 3, c('c') a/0 → 3, a(b('b'),a('a'),c('c'))
Iteration 3
Worklist - successes
jS a/0 → 3 a(b('b'),a('a'),c('c'))
Worklist - continuations
jK c/2a/1 ; a → b a c•
#7: JoinS: a/0 → 3 a(b('b'),a('a'),c('c')) will resume cont: a/0 ; a → b a• c
Processing a/0 codePos a → b a• c inputPos 3
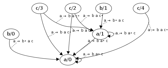
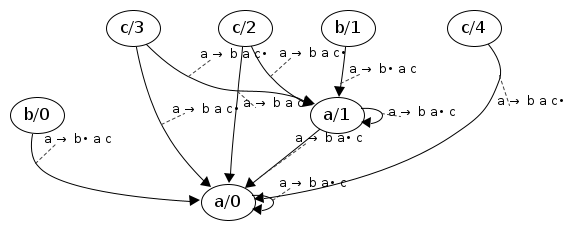
Calling: c/3 with Cont a/0 ; a → b a c• ; a(b, a(b('b'), a('a'), c('c'))) [will process]
Processing c/3 codePos c → • `c` inputPos 3
Match c to c, matched; inputPos now 4
Reached end of rule, success! c/3 → 4
New continuations:
c/3a/0 ; a → b a c• ; a(b, a(b('b'), a('a'), c('c')))
b/0 → 1, b('b') b/0 → 0, b b/1 → 1, b a/1 → 2, a('a') c/2 → 3, c('c') a/0 → 3, a(b('b'),a('a'),c('c')) c/3 → 4, c('c')
#8: JoinS: a/0 → 3 a(b('b'),a('a'),c('c')) will resume cont: Root/0 ; Root → a•
×Didn't reach end of input, not a successful parse
b/0 → 1, b('b') b/0 → 0, b b/1 → 1, b a/1 → 2, a('a') c/2 → 3, c('c') a/0 → 3, a(b('b'),a('a'),c('c')) c/3 → 4, c('c')
#9: JoinK: c/2 will use c/2 → 3 c('c') to resume a/1 ; a → b a c•
Processing a/1 codePos a → b a c• inputPos 3
Reached end of rule, success! a/1 → 3
b/0 → 1, b('b') b/0 → 0, b b/1 → 1, b a/1 → 2, a('a') c/2 → 3, c('c') a/0 → 3, a(b('b'),a('a'),c('c')) c/3 → 4, c('c') a/1 → 3, a(b,a('a'),c('c'))
Iteration 4
Worklist - successes
jS c/3 → 4 c('c')
jS a/1 → 3 a(b,a('a'),c('c'))
Worklist - continuations
S⤚ c/3a/0 ; a → b a c•
#10: JoinS: c/3 → 4 c('c') will resume cont: a/0 ; a → b a c•
Processing a/0 codePos a → b a c• inputPos 4
Reached end of rule, success! a/0 → 4
b/0 → 1, b('b') b/0 → 0, b b/1 → 1, b a/1 → 2, a('a') c/2 → 3, c('c') a/0 → 3, a(b('b'),a('a'),c('c')) c/3 → 4, c('c') a/1 → 3, a(b,a('a'),c('c')) a/0 → 4, a(b,a(b('b'),a('a'),c('c')),c('c'))
#11: JoinS: a/1 → 3 a(b,a('a'),c('c')) will resume cont: a/1 ; a → b a• c
Processing a/1 codePos a → b a• c inputPos 3
Calling: c/3 with Cont a/1 ; a → b a c• ; a(b, a(b, a('a'), c('c'))) [already processed]
New continuations:
c/3a/1 ; a → b a c• ; a(b, a(b, a('a'), c('c')))
b/0 → 1, b('b') b/0 → 0, b b/1 → 1, b a/1 → 2, a('a') c/2 → 3, c('c') a/0 → 3, a(b('b'),a('a'),c('c')) c/3 → 4, c('c') a/1 → 3, a(b,a('a'),c('c')) a/0 → 4, a(b,a(b('b'),a('a'),c('c')),c('c'))
#12: JoinS: a/1 → 3 a(b,a('a'),c('c')) will resume cont: a/0 ; a → b a• c
Processing a/0 codePos a → b a• c inputPos 3
Calling: c/3 with Cont a/0 ; a → b a c• ; a(b('b'), a(b, a('a'), c('c'))) [already processed]
New continuations:
c/3a/0 ; a → b a c• ; a(b('b'), a(b, a('a'), c('c')))
b/0 → 1, b('b') b/0 → 0, b b/1 → 1, b a/1 → 2, a('a') c/2 → 3, c('c') a/0 → 3, a(b('b'),a('a'),c('c')) c/3 → 4, c('c') a/1 → 3, a(b,a('a'),c('c')) a/0 → 4, a(b,a(b('b'),a('a'),c('c')),c('c'))
Iteration 5
Worklist - successes
jS a/0 → 4 a(b,a(b('b'),a('a'),c('c')),c('c'))
Worklist - continuations
jK c/3a/1 ; a → b a c•
jK c/3a/0 ; a → b a c•
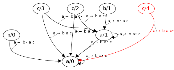
#13: JoinS: a/0 → 4 a(b,a(b('b'),a('a'),c('c')),c('c')) will resume cont: a/0 ; a → b a• c
Processing a/0 codePos a → b a• c inputPos 4
Calling: c/4 with Cont a/0 ; a → b a c• ; a(b, a(b, a(b('b'), a('a'), c('c')), c('c'))) [will process]
Processing c/4 codePos c → • `c` inputPos 4
Match `c` to (eof), fail
New continuations:
c/4a/0 ; a → b a c• ; a(b, a(b, a(b('b'), a('a'), c('c')), c('c')))
b/0 → 1, b('b') b/0 → 0, b b/1 → 1, b a/1 → 2, a('a') c/2 → 3, c('c') a/0 → 3, a(b('b'),a('a'),c('c')) c/3 → 4, c('c') a/1 → 3, a(b,a('a'),c('c')) a/0 → 4, a(b,a(b('b'),a('a'),c('c')),c('c'))
#14: JoinS: a/0 → 4 a(b,a(b('b'),a('a'),c('c')),c('c')) will resume cont: Root/0 ; Root → a•
Reached end of input, successful parse!
b/0 → 1, b('b') b/0 → 0, b b/1 → 1, b a/1 → 2, a('a') c/2 → 3, c('c') a/0 → 3, a(b('b'),a('a'),c('c')) c/3 → 4, c('c') a/1 → 3, a(b,a('a'),c('c')) a/0 → 4, a(b,a(b('b'),a('a'),c('c')),c('c')) Root/0 → 4, Root(a(b,a(b('b'),a('a'),c('c')),c('c')))
#15: JoinK: c/3 will use c/3 → 4 c('c') to resume a/1 ; a → b a c•
Processing a/1 codePos a → b a c• inputPos 4
Reached end of rule, success! a/1 → 4
b/0 → 1, b('b') b/0 → 0, b b/1 → 1, b a/1 → 2, a('a') c/2 → 3, c('c') a/0 → 3, a(b('b'),a('a'),c('c')) c/3 → 4, c('c') a/1 → 3, a(b,a('a'),c('c')) a/0 → 4, a(b,a(b('b'),a('a'),c('c')),c('c')) Root/0 → 4, Root(a(b,a(b('b'),a('a'),c('c')),c('c'))) a/1 → 4, a(b,a(b,a('a'),c('c')),c('c'))
#16: JoinK: c/3 will use c/3 → 4 c('c') to resume a/0 ; a → b a c•
Processing a/0 codePos a → b a c• inputPos 4
Reached end of rule, success! a/0 → 4
b/0 → 1, b('b') b/0 → 0, b b/1 → 1, b a/1 → 2, a('a') c/2 → 3, c('c') a/0 → 3, a(b('b'),a('a'),c('c')) c/3 → 4, c('c') a/1 → 3, a(b,a('a'),c('c')) a/0 → 4, a(b,a(b('b'),a('a'),c('c')),c('c')) Root/0 → 4, Root(a(b,a(b('b'),a('a'),c('c')),c('c'))) a/1 → 4, a(b,a(b,a('a'),c('c')),c('c')) a/0 → 4, a(b('b'),a(b,a('a'),c('c')),c('c'))
Iteration 6
Worklist - successes
jS a/1 → 4 a(b,a(b,a('a'),c('c')),c('c'))
nJ Root/0 → 4 Root(a(b,a(b('b'),a('a'),c('c')),c('c')))
Worklist - continuations
nJ c/4a/0 ; a → b a c•
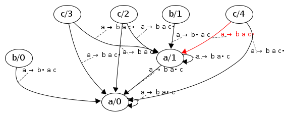
#17: JoinS: a/1 → 4 a(b,a(b,a('a'),c('c')),c('c')) will resume cont: a/1 ; a → b a• c
Processing a/1 codePos a → b a• c inputPos 4
Calling: c/4 with Cont a/1 ; a → b a c• ; a(b, a(b, a(b, a('a'), c('c')), c('c'))) [already processed]
New continuations:
c/4a/1 ; a → b a c• ; a(b, a(b, a(b, a('a'), c('c')), c('c')))
b/0 → 1, b('b') b/0 → 0, b b/1 → 1, b a/1 → 2, a('a') c/2 → 3, c('c') a/0 → 3, a(b('b'),a('a'),c('c')) c/3 → 4, c('c') a/1 → 3, a(b,a('a'),c('c')) a/0 → 4, a(b,a(b('b'),a('a'),c('c')),c('c')) Root/0 → 4, Root(a(b,a(b('b'),a('a'),c('c')),c('c'))) a/1 → 4, a(b,a(b,a('a'),c('c')),c('c')) a/0 → 4, a(b('b'),a(b,a('a'),c('c')),c('c'))
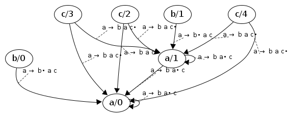
#18: JoinS: a/1 → 4 a(b,a(b,a('a'),c('c')),c('c')) will resume cont: a/0 ; a → b a• c
Processing a/0 codePos a → b a• c inputPos 4
Calling: c/4 with Cont a/0 ; a → b a c• ; a(b('b'), a(b, a(b, a('a'), c('c')), c('c'))) [already processed]
New continuations:
c/4a/0 ; a → b a c• ; a(b('b'), a(b, a(b, a('a'), c('c')), c('c')))
b/0 → 1, b('b') b/0 → 0, b b/1 → 1, b a/1 → 2, a('a') c/2 → 3, c('c') a/0 → 3, a(b('b'),a('a'),c('c')) c/3 → 4, c('c') a/1 → 3, a(b,a('a'),c('c')) a/0 → 4, a(b,a(b('b'),a('a'),c('c')),c('c')) Root/0 → 4, Root(a(b,a(b('b'),a('a'),c('c')),c('c'))) a/1 → 4, a(b,a(b,a('a'),c('c')),c('c')) a/0 → 4, a(b('b'),a(b,a('a'),c('c')),c('c'))
Iteration 7
Worklist - successes Worklist - continuations
nJ c/4a/0 ; a → b a c•
nJ c/4a/1 ; a → b a c•
(No new calls or successes that can be further processed)
Iteration 8 [Fixed point reached]