Main ArticleExamples TOC

Takmela: Parsing arithmetic expression example (more complicated expressions)

Arithmetic expression again, but something more complicated than 1+2+3; more resembling e.g expressions in programming languages.

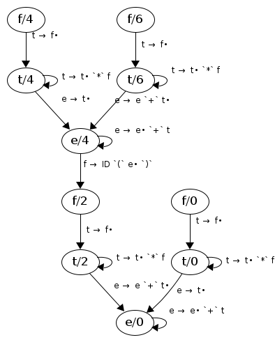
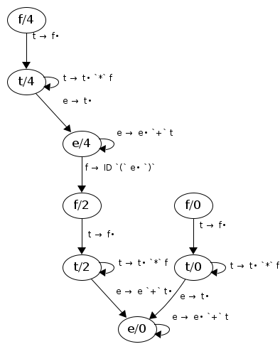
Grammar
e : e '+' t 
    | t ;
    
t : t '*' f 
    | f ;
        
f : 
      NUM
    | ID
    | '(' e ')'
    | ID '(' e ')'
    ;
    
ID:  [a-zA-Z]+;
NUM: [0-9]+;

WS skip: [ \r\n\t]*;
Input
1+f(5+x)

Trace appears confusing? This might help

Call start nonterminal
#0: Called e/0 at the top level (will process)
Processing e/0 codePos e → • e `+` t inputPos 0
Calling: e/0 with Cont e/0 ; e → e• `+` t ; e [already processed]
Processing e/0 codePos e → • t inputPos 0
Calling: t/0 with Cont e/0 ; e → t• ; e [will process]
Processing t/0 codePos t → • t `*` f inputPos 0
Calling: t/0 with Cont t/0 ; t → t• `*` f ; t [already processed]
Processing t/0 codePos t → • f inputPos 0
Calling: f/0 with Cont t/0 ; t → f• ; t [will process]
Processing f/0 codePos f → • NUM inputPos 0
Match NUM to 1, matched; inputPos now 1
Reached end of rule, success! f/0 → 1
Processing f/0 codePos f → • ID inputPos 0
Match ID to 1, fail
Processing f/0 codePos f → • `(` e `)` inputPos 0
Match `(` to 1, fail
Processing f/0 codePos f → • ID `(` e `)` inputPos 0
Match ID to 1, fail
New continuations:
f/0t/0 ; t → f•
e/0e/0 ; e → e• `+` t
t/0t/0 ; t → t• `*` f
t/0e/0 ; e → t•
f/0 → 1, f('1')
Iteration 0
Worklist - successes
jS f/0 → 1 f('1')
Worklist - continuations
S⤚ f/0t/0 ; t → f•
nJ e/0e/0 ; e → e• `+` t
nJ t/0t/0 ; t → t• `*` f
nJ t/0e/0 ; e → t•
#1: JoinS: f/0 → 1 (1木) will resume cont: t/0 ; t → f•
Processing t/0 codePos t → f• inputPos 1
Reached end of rule, success! t/0 → 1
f/0 → 1, f('1') t/0 → 1, t(f('1'))
Iteration 1
Worklist - successes
jS t/0 → 1 t(f('1'))
Worklist - continuations
#2: JoinS: t/0 → 1 (1木) will resume cont: t/0 ; t → t• `*` f
Processing t/0 codePos t → t• `*` f inputPos 1
Match `*` to +, fail
f/0 → 1, f('1') t/0 → 1, t(f('1'))
#3: JoinS: t/0 → 1 (1木) will resume cont: e/0 ; e → t•
Processing e/0 codePos e → t• inputPos 1
Reached end of rule, success! e/0 → 1
f/0 → 1, f('1') t/0 → 1, t(f('1')) e/0 → 1, e(t(f('1')))
Iteration 2
Worklist - successes
jS e/0 → 1 e(t(f('1')))
Worklist - continuations
#4: JoinS: e/0 → 1 (1木) will resume cont: Root/0 ; Root → e•
×Didn't reach end of input, not a successful parse
f/0 → 1, f('1') t/0 → 1, t(f('1')) e/0 → 1, e(t(f('1')))
#5: JoinS: e/0 → 1 (1木) will resume cont: e/0 ; e → e• `+` t
Processing e/0 codePos e → e• `+` t inputPos 1
Match + to +, matched; inputPos now 2
Calling: t/2 with Cont e/0 ; e → e `+` t• ; e(e(t(f('1'))), '+') [will process]
Processing t/2 codePos t → • t `*` f inputPos 2
Calling: t/2 with Cont t/2 ; t → t• `*` f ; t [already processed]
Processing t/2 codePos t → • f inputPos 2
Calling: f/2 with Cont t/2 ; t → f• ; t [will process]
Processing f/2 codePos f → • NUM inputPos 2
Match NUM to f, fail
Processing f/2 codePos f → • ID inputPos 2
Match ID to f, matched; inputPos now 3
Reached end of rule, success! f/2 → 3
Processing f/2 codePos f → • `(` e `)` inputPos 2
Match `(` to f, fail
Processing f/2 codePos f → • ID `(` e `)` inputPos 2
Match ID to f, matched; inputPos now 3
Match ( to (, matched; inputPos now 4
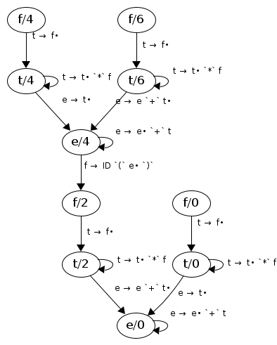
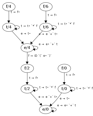
Calling: e/4 with Cont f/2 ; f → ID `(` e• `)` ; f('f', '(') [will process]
Processing e/4 codePos e → • e `+` t inputPos 4
Calling: e/4 with Cont e/4 ; e → e• `+` t ; e [already processed]
Processing e/4 codePos e → • t inputPos 4
Calling: t/4 with Cont e/4 ; e → t• ; e [will process]
Processing t/4 codePos t → • t `*` f inputPos 4
Calling: t/4 with Cont t/4 ; t → t• `*` f ; t [already processed]
Processing t/4 codePos t → • f inputPos 4
Calling: f/4 with Cont t/4 ; t → f• ; t [will process]
Processing f/4 codePos f → • NUM inputPos 4
Match NUM to 5, matched; inputPos now 5
Reached end of rule, success! f/4 → 5
Processing f/4 codePos f → • ID inputPos 4
Match ID to 5, fail
Processing f/4 codePos f → • `(` e `)` inputPos 4
Match `(` to 5, fail
Processing f/4 codePos f → • ID `(` e `)` inputPos 4
Match ID to 5, fail
New continuations:
e/4e/4 ; e → e• `+` t
e/4f/2 ; f → ID `(` e• `)`
t/4e/4 ; e → t•
t/4t/4 ; t → t• `*` f
f/2t/2 ; t → f•
t/2e/0 ; e → e `+` t•
t/2t/2 ; t → t• `*` f
f/4t/4 ; t → f•
f/0 → 1, f('1') t/0 → 1, t(f('1')) e/0 → 1, e(t(f('1'))) f/2 → 3, f('f') f/4 → 5, f('5')
Iteration 3
Worklist - successes
jS f/2 → 3 f('f')
jS f/4 → 5 f('5')
Worklist - continuations
nJ e/4e/4 ; e → e• `+` t
nJ e/4f/2 ; f → ID `(` e• `)`
nJ t/4e/4 ; e → t•
nJ t/4t/4 ; t → t• `*` f
S⤚ f/2t/2 ; t → f•
nJ t/2e/0 ; e → e `+` t•
nJ t/2t/2 ; t → t• `*` f
S⤚ f/4t/4 ; t → f•
#6: JoinS: f/2 → 3 (1木) will resume cont: t/2 ; t → f•
Processing t/2 codePos t → f• inputPos 3
Reached end of rule, success! t/2 → 3
f/0 → 1, f('1') t/0 → 1, t(f('1')) e/0 → 1, e(t(f('1'))) f/2 → 3, f('f') f/4 → 5, f('5') t/2 → 3, t(f('f'))
#7: JoinS: f/4 → 5 (1木) will resume cont: t/4 ; t → f•
Processing t/4 codePos t → f• inputPos 5
Reached end of rule, success! t/4 → 5
f/0 → 1, f('1') t/0 → 1, t(f('1')) e/0 → 1, e(t(f('1'))) f/2 → 3, f('f') f/4 → 5, f('5') t/2 → 3, t(f('f')) t/4 → 5, t(f('5'))
Iteration 4
Worklist - successes
jS t/4 → 5 t(f('5'))
jS t/2 → 3 t(f('f'))
Worklist - continuations
#8: JoinS: t/4 → 5 (1木) will resume cont: e/4 ; e → t•
Processing e/4 codePos e → t• inputPos 5
Reached end of rule, success! e/4 → 5
f/0 → 1, f('1') t/0 → 1, t(f('1')) e/0 → 1, e(t(f('1'))) f/2 → 3, f('f') f/4 → 5, f('5') t/2 → 3, t(f('f')) t/4 → 5, t(f('5')) e/4 → 5, e(t(f('5')))
#9: JoinS: t/4 → 5 (1木) will resume cont: t/4 ; t → t• `*` f
Processing t/4 codePos t → t• `*` f inputPos 5
Match `*` to +, fail
f/0 → 1, f('1') t/0 → 1, t(f('1')) e/0 → 1, e(t(f('1'))) f/2 → 3, f('f') f/4 → 5, f('5') t/2 → 3, t(f('f')) t/4 → 5, t(f('5')) e/4 → 5, e(t(f('5')))
#10: JoinS: t/2 → 3 (1木) will resume cont: e/0 ; e → e `+` t•
Processing e/0 codePos e → e `+` t• inputPos 3
Reached end of rule, success! e/0 → 3
f/0 → 1, f('1') t/0 → 1, t(f('1')) e/0 → 1, e(t(f('1'))) f/2 → 3, f('f') f/4 → 5, f('5') t/2 → 3, t(f('f')) t/4 → 5, t(f('5')) e/4 → 5, e(t(f('5'))) e/0 → 3, e(e(t(f('1'))),'+',t(f('f')))
#11: JoinS: t/2 → 3 (1木) will resume cont: t/2 ; t → t• `*` f
Processing t/2 codePos t → t• `*` f inputPos 3
Match `*` to (, fail
f/0 → 1, f('1') t/0 → 1, t(f('1')) e/0 → 1, e(t(f('1'))) f/2 → 3, f('f') f/4 → 5, f('5') t/2 → 3, t(f('f')) t/4 → 5, t(f('5')) e/4 → 5, e(t(f('5'))) e/0 → 3, e(e(t(f('1'))),'+',t(f('f')))
Iteration 5
Worklist - successes
jS e/4 → 5 e(t(f('5')))
jS e/0 → 3 e(e(t(f('1'))),'+',t(f('f')))
Worklist - continuations
#12: JoinS: e/4 → 5 (1木) will resume cont: e/4 ; e → e• `+` t
Processing e/4 codePos e → e• `+` t inputPos 5
Match + to +, matched; inputPos now 6
Calling: t/6 with Cont e/4 ; e → e `+` t• ; e(e(t(f('5'))), '+') [will process]
Processing t/6 codePos t → • t `*` f inputPos 6
Calling: t/6 with Cont t/6 ; t → t• `*` f ; t [already processed]
Processing t/6 codePos t → • f inputPos 6
Calling: f/6 with Cont t/6 ; t → f• ; t [will process]
Processing f/6 codePos f → • NUM inputPos 6
Match NUM to x, fail
Processing f/6 codePos f → • ID inputPos 6
Match ID to x, matched; inputPos now 7
Reached end of rule, success! f/6 → 7
Processing f/6 codePos f → • `(` e `)` inputPos 6
Match `(` to x, fail
Processing f/6 codePos f → • ID `(` e `)` inputPos 6
Match ID to x, matched; inputPos now 7
Match `(` to ), fail
New continuations:
f/6t/6 ; t → f•
t/6e/4 ; e → e `+` t•
t/6t/6 ; t → t• `*` f
f/0 → 1, f('1') t/0 → 1, t(f('1')) e/0 → 1, e(t(f('1'))) f/2 → 3, f('f') f/4 → 5, f('5') t/2 → 3, t(f('f')) t/4 → 5, t(f('5')) e/4 → 5, e(t(f('5'))) e/0 → 3, e(e(t(f('1'))),'+',t(f('f'))) f/6 → 7, f('x')
#13: JoinS: e/4 → 5 (1木) will resume cont: f/2 ; f → ID `(` e• `)`
Processing f/2 codePos f → ID `(` e• `)` inputPos 5
Match `)` to +, fail
f/0 → 1, f('1') t/0 → 1, t(f('1')) e/0 → 1, e(t(f('1'))) f/2 → 3, f('f') f/4 → 5, f('5') t/2 → 3, t(f('f')) t/4 → 5, t(f('5')) e/4 → 5, e(t(f('5'))) e/0 → 3, e(e(t(f('1'))),'+',t(f('f'))) f/6 → 7, f('x')
#14: JoinS: e/0 → 3 (1木) will resume cont: Root/0 ; Root → e•
×Didn't reach end of input, not a successful parse
f/0 → 1, f('1') t/0 → 1, t(f('1')) e/0 → 1, e(t(f('1'))) f/2 → 3, f('f') f/4 → 5, f('5') t/2 → 3, t(f('f')) t/4 → 5, t(f('5')) e/4 → 5, e(t(f('5'))) e/0 → 3, e(e(t(f('1'))),'+',t(f('f'))) f/6 → 7, f('x')
#15: JoinS: e/0 → 3 (1木) will resume cont: e/0 ; e → e• `+` t
Processing e/0 codePos e → e• `+` t inputPos 3
Match `+` to (, fail
f/0 → 1, f('1') t/0 → 1, t(f('1')) e/0 → 1, e(t(f('1'))) f/2 → 3, f('f') f/4 → 5, f('5') t/2 → 3, t(f('f')) t/4 → 5, t(f('5')) e/4 → 5, e(t(f('5'))) e/0 → 3, e(e(t(f('1'))),'+',t(f('f'))) f/6 → 7, f('x')
Iteration 6
Worklist - successes
jS f/6 → 7 f('x')
Worklist - continuations
S⤚ f/6t/6 ; t → f•
nJ t/6e/4 ; e → e `+` t•
nJ t/6t/6 ; t → t• `*` f
#16: JoinS: f/6 → 7 (1木) will resume cont: t/6 ; t → f•
Processing t/6 codePos t → f• inputPos 7
Reached end of rule, success! t/6 → 7
f/0 → 1, f('1') t/0 → 1, t(f('1')) e/0 → 1, e(t(f('1'))) f/2 → 3, f('f') f/4 → 5, f('5') t/2 → 3, t(f('f')) t/4 → 5, t(f('5')) e/4 → 5, e(t(f('5'))) e/0 → 3, e(e(t(f('1'))),'+',t(f('f'))) f/6 → 7, f('x') t/6 → 7, t(f('x'))
Iteration 7
Worklist - successes
jS t/6 → 7 t(f('x'))
Worklist - continuations
#17: JoinS: t/6 → 7 (1木) will resume cont: e/4 ; e → e `+` t•
Processing e/4 codePos e → e `+` t• inputPos 7
Reached end of rule, success! e/4 → 7
f/0 → 1, f('1') t/0 → 1, t(f('1')) e/0 → 1, e(t(f('1'))) f/2 → 3, f('f') f/4 → 5, f('5') t/2 → 3, t(f('f')) t/4 → 5, t(f('5')) e/4 → 5, e(t(f('5'))) e/0 → 3, e(e(t(f('1'))),'+',t(f('f'))) f/6 → 7, f('x') t/6 → 7, t(f('x')) e/4 → 7, e(e(t(f('5'))),'+',t(f('x')))
#18: JoinS: t/6 → 7 (1木) will resume cont: t/6 ; t → t• `*` f
Processing t/6 codePos t → t• `*` f inputPos 7
Match `*` to ), fail
f/0 → 1, f('1') t/0 → 1, t(f('1')) e/0 → 1, e(t(f('1'))) f/2 → 3, f('f') f/4 → 5, f('5') t/2 → 3, t(f('f')) t/4 → 5, t(f('5')) e/4 → 5, e(t(f('5'))) e/0 → 3, e(e(t(f('1'))),'+',t(f('f'))) f/6 → 7, f('x') t/6 → 7, t(f('x')) e/4 → 7, e(e(t(f('5'))),'+',t(f('x')))
Iteration 8
Worklist - successes
jS e/4 → 7 e(e(t(f('5'))),'+',t(f('x')))
Worklist - continuations
#19: JoinS: e/4 → 7 (1木) will resume cont: e/4 ; e → e• `+` t
Processing e/4 codePos e → e• `+` t inputPos 7
Match `+` to ), fail
f/0 → 1, f('1') t/0 → 1, t(f('1')) e/0 → 1, e(t(f('1'))) f/2 → 3, f('f') f/4 → 5, f('5') t/2 → 3, t(f('f')) t/4 → 5, t(f('5')) e/4 → 5, e(t(f('5'))) e/0 → 3, e(e(t(f('1'))),'+',t(f('f'))) f/6 → 7, f('x') t/6 → 7, t(f('x')) e/4 → 7, e(e(t(f('5'))),'+',t(f('x')))
#20: JoinS: e/4 → 7 (1木) will resume cont: f/2 ; f → ID `(` e• `)`
Processing f/2 codePos f → ID `(` e• `)` inputPos 7
Match ) to ), matched; inputPos now 8
Reached end of rule, success! f/2 → 8
f/0 → 1, f('1') t/0 → 1, t(f('1')) e/0 → 1, e(t(f('1'))) f/2 → 3, f('f') f/4 → 5, f('5') t/2 → 3, t(f('f')) t/4 → 5, t(f('5')) e/4 → 5, e(t(f('5'))) e/0 → 3, e(e(t(f('1'))),'+',t(f('f'))) f/6 → 7, f('x') t/6 → 7, t(f('x')) e/4 → 7, e(e(t(f('5'))),'+',t(f('x'))) f/2 → 8, f('f','(',e(e(t(f('5'))),'+',t(f('x'))),')')
Iteration 9
Worklist - successes
jS f/2 → 8 f('f','(',e(e(t(f('5'))),'+',t(f('x'))),')')
Worklist - continuations
#21: JoinS: f/2 → 8 (1木) will resume cont: t/2 ; t → f•
Processing t/2 codePos t → f• inputPos 8
Reached end of rule, success! t/2 → 8
f/0 → 1, f('1') t/0 → 1, t(f('1')) e/0 → 1, e(t(f('1'))) f/2 → 3, f('f') f/4 → 5, f('5') t/2 → 3, t(f('f')) t/4 → 5, t(f('5')) e/4 → 5, e(t(f('5'))) e/0 → 3, e(e(t(f('1'))),'+',t(f('f'))) f/6 → 7, f('x') t/6 → 7, t(f('x')) e/4 → 7, e(e(t(f('5'))),'+',t(f('x'))) f/2 → 8, f('f','(',e(e(t(f('5'))),'+',t(f('x'))),')') t/2 → 8, t(f('f','(',e(e(t(f('5'))),'+',t(f('x'))),')'))
Iteration 10
Worklist - successes
jS t/2 → 8 t(f('f','(',e(e(t(f('5'))),'+',t(f('x'))),')'))
Worklist - continuations
#22: JoinS: t/2 → 8 (1木) will resume cont: e/0 ; e → e `+` t•
Processing e/0 codePos e → e `+` t• inputPos 8
Reached end of rule, success! e/0 → 8
f/0 → 1, f('1') t/0 → 1, t(f('1')) e/0 → 1, e(t(f('1'))) f/2 → 3, f('f') f/4 → 5, f('5') t/2 → 3, t(f('f')) t/4 → 5, t(f('5')) e/4 → 5, e(t(f('5'))) e/0 → 3, e(e(t(f('1'))),'+',t(f('f'))) f/6 → 7, f('x') t/6 → 7, t(f('x')) e/4 → 7, e(e(t(f('5'))),'+',t(f('x'))) f/2 → 8, f('f','(',e(e(t(f('5'))),'+',t(f('x'))),')') t/2 → 8, t(f('f','(',e(e(t(f('5'))),'+',t(f('x'))),')')) e/0 → 8, e(e(t(f('1'))),'+',t(f('f','(',e(e(t(f('5'))),'+',t(f('x'))),')')))
#23: JoinS: t/2 → 8 (1木) will resume cont: t/2 ; t → t• `*` f
Processing t/2 codePos t → t• `*` f inputPos 8
Match `*` to (eof), fail
f/0 → 1, f('1') t/0 → 1, t(f('1')) e/0 → 1, e(t(f('1'))) f/2 → 3, f('f') f/4 → 5, f('5') t/2 → 3, t(f('f')) t/4 → 5, t(f('5')) e/4 → 5, e(t(f('5'))) e/0 → 3, e(e(t(f('1'))),'+',t(f('f'))) f/6 → 7, f('x') t/6 → 7, t(f('x')) e/4 → 7, e(e(t(f('5'))),'+',t(f('x'))) f/2 → 8, f('f','(',e(e(t(f('5'))),'+',t(f('x'))),')') t/2 → 8, t(f('f','(',e(e(t(f('5'))),'+',t(f('x'))),')')) e/0 → 8, e(e(t(f('1'))),'+',t(f('f','(',e(e(t(f('5'))),'+',t(f('x'))),')')))
Iteration 11
Worklist - successes
jS e/0 → 8 e(e(t(f('1'))),'+',t(f('f','(',e(e(t(f('5'))),'+',t(f('x'))),')')))
Worklist - continuations
#24: JoinS: e/0 → 8 (1木) will resume cont: Root/0 ; Root → e•
Reached end of input, successful parse!
f/0 → 1, f('1') t/0 → 1, t(f('1')) e/0 → 1, e(t(f('1'))) f/2 → 3, f('f') f/4 → 5, f('5') t/2 → 3, t(f('f')) t/4 → 5, t(f('5')) e/4 → 5, e(t(f('5'))) e/0 → 3, e(e(t(f('1'))),'+',t(f('f'))) f/6 → 7, f('x') t/6 → 7, t(f('x')) e/4 → 7, e(e(t(f('5'))),'+',t(f('x'))) f/2 → 8, f('f','(',e(e(t(f('5'))),'+',t(f('x'))),')') t/2 → 8, t(f('f','(',e(e(t(f('5'))),'+',t(f('x'))),')')) e/0 → 8, e(e(t(f('1'))),'+',t(f('f','(',e(e(t(f('5'))),'+',t(f('x'))),')'))) Root/0 → 8, Root(e(e(t(f('1'))),'+',t(f('f','(',e(e(t(f('5'))),'+',t(f('x'))),')'))))
#25: JoinS: e/0 → 8 (1木) will resume cont: e/0 ; e → e• `+` t
Processing e/0 codePos e → e• `+` t inputPos 8
Match `+` to (eof), fail
f/0 → 1, f('1') t/0 → 1, t(f('1')) e/0 → 1, e(t(f('1'))) f/2 → 3, f('f') f/4 → 5, f('5') t/2 → 3, t(f('f')) t/4 → 5, t(f('5')) e/4 → 5, e(t(f('5'))) e/0 → 3, e(e(t(f('1'))),'+',t(f('f'))) f/6 → 7, f('x') t/6 → 7, t(f('x')) e/4 → 7, e(e(t(f('5'))),'+',t(f('x'))) f/2 → 8, f('f','(',e(e(t(f('5'))),'+',t(f('x'))),')') t/2 → 8, t(f('f','(',e(e(t(f('5'))),'+',t(f('x'))),')')) e/0 → 8, e(e(t(f('1'))),'+',t(f('f','(',e(e(t(f('5'))),'+',t(f('x'))),')'))) Root/0 → 8, Root(e(e(t(f('1'))),'+',t(f('f','(',e(e(t(f('5'))),'+',t(f('x'))),')'))))
Iteration 12
Worklist - successes
nJ Root/0 → 8 Root(e(e(t(f('1'))),'+',t(f('f','(',e(e(t(f('5'))),'+',t(f('x'))),')'))))
Worklist - continuations
(No new calls or successes that can be further processed)
Iteration 13 [Fixed point reached]